Burns, borders, and comorbidities: a regional analysis of medical comorbidities in Texas and New Mexico burn patients

Cameron Lowell Miller BS, Isaac Terrence Edwards BS, Jordan Baechle MD, Ariel Santos MD, MPH, FRCSC, FACS, FCCM

Corresponding author: Cameron Lowell Miller
Contact Information: Cameron.L.Miller@ttuhsc.edu
DOI: 10.12746/swjm.v14i58.1537

ABSTRACT

Background: Burn injuries impose a substantial public health burden, with medical comorbidities having an important role in influencing clinical outcomes, resource utilization, and overall patient trajectories. Given the stark differences in socioeconomic and healthcare landscapes between Texas (TX) and New Mexico (NM), examining the distribution of comorbidities among burn patients from these neighboring states provides valuable insights into regional health disparities.

Objective: This study aims to elucidate the association between specific medical comorbidities and state of residence (TX versus NM) in a cohort of burn patients treated at a major regional burn center serving West Texas and surrounding areas.

Methods: A retrospective analysis of 2,017 burn patients treated between 2019 and 2024 was conducted using multivariable logistic regression. State of residence was the outcome variable, and ten prevalent comorbidities (≥5% prevalence) were modeled as predictors, following collinearity and prevalence screening.

Results: The overall model demonstrated strong statistical significance (likelihood ratio test p < 0.001). Notably, chronic obstructive pulmonary disease (COPD), substance use disorder, and alcohol use disorders were significantly associated with higher odds of residence in New Mexico (all p < 0.02). Comorbidities including diabetes mellitus, obesity, hypertension, and hyperlipidemia showed no significant differences between states.

Conclusion: The novel finding of increased burden of respiratory and substance-related comorbidities among burn patients from New Mexico likely reflects underlying regional health inequities driven by socioeconomic factors and disparities in healthcare access. These findings underscore the importance of tailored public health strategies and resource allocation to address state-specific patient needs in burn care and overall physical wellbeing.

Keywords: Medical comorbidities, Texas, New Mexico, logistic regression

INTRODUCTION

Burn injuries remain a pressing public health issue in the United States, contributing to significant morbidity, healthcare costs, and long-term disability. While advances in acute burn care have improved survival, disparities in outcomes and access persist, especially in geographically and socioeconomically diverse regions. Comorbid conditions such as diabetes, hypertension, chronic pulmonary diseases, and substance use disorders complicate burn recovery and may serve as indicators of broader health inequities.1

Texas and New Mexico, while geographically contiguous, differ markedly in socioeconomic profiles, healthcare infrastructure, and rurality, all of which may contribute to divergent health outcomes. New Mexico, in particular, faces a disproportionate burden of medically underserved populations and health professional shortages compared to Texas, factors that may manifest as distinct comorbidity patterns among patients presenting for burn care.

This study investigates these disparities by analyzing the prevalence of key comorbidities in burn patients from Texas and New Mexico treated at a regional burn center serving West Texas. Under­standing such regional differences can inform targeted interventions, improve resource allocation, and ultimately enhance patient-centered care.

METHODS

STUDY DESIGN AND POPULATION

A retrospective, cross-sectional study analyzed data from 2,017 burn patients treated at an American Burn Association-verified regional burn center in West Texas from 2019 to 2024. Patients were randomly selected to ensure representative sampling across demographic and clinical variables. Patient data was extracted from the electronic medical record and stored securely as part of an Institutional Review Board (IRB) exempt project in compliance with human-studies guidelines according to the author’s institutions and in compliance with FDA guidelines.

VARIABLES AND DEFINITIONS

The primary dependent variable was state of residence, categorized as Texas or New Mexico, recorded as a binary variable. Independent variables included 27 comorbid conditions recorded at admission. The comorbidities considered were: Diabetes Mellitus, Angina Pectoris, Obesity, Hypothyroidism, Alcohol Use Disorder (AUD), Traumatic Brain Injury (TBI), HIV, Atrial Fibrillation (A-Fib), Asthma, Chronic Obstructive Pulmonary Disease (COPD), Functionally Dependent Health Status, Substance Use Disorder (SUD), Mental/Personality Disorder, dementia, Seizure Disorder. Parkinson’s Disease, Paraplegia/Quadriplegia, Coro­nary Artery Bypass Graft (CABG), Current Smoker, Anticoagulant Therapy, Hypertension, Cirrhosis, congestive Heart Failure (CHF), Cerebrovascular Accident (CVA), Hyperlipidemia, Chronic Renal Failure, Coro­nary Artery Disease (CAD).

Comorbidities with a prevalence of less than 5% in the study population were excluded from further analysis to ensure statistical reliability and model stability. The following 10 comorbidities met the ≥5% threshold and were included in state-level comparisons: Comorbidity (prevalence %):

STATISTICAL ANALYSIS

A multivariable logistic regression model was fit using state of residence as the dependent variable. Odds ratios (OR) with 95% confidence intervals (CI) and p-values were calculated to evaluate associations between comorbidities and state of residence. Statistical significance was defined as p < 0.05. Analyses were performed using Python.

RESULTS

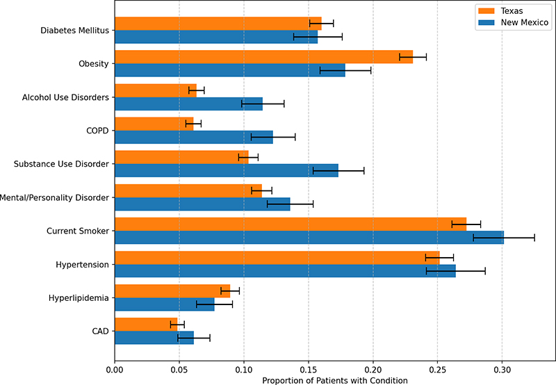
Demographic descriptive statistics were performed and the results are shown in Figure 1 (Descriptive Statistics of Comorbidity Prevalence by State). Figure 1 shows the differences between comorbidity prevalence in Texas vs. New Mexico patients.

Figure 1

Figure 1. Descriptive Statistics of Comorbidity Prevalence by State with Error Bars. Orange – Texas Patients; Blue – New Mexico Patients.

The logistic regression model was statistically significant (likelihood ratio test p = 3.12 × 10–7), indicating that the combined comorbidities significantly predicted state of residence. Significant comorbidities negatively associated with residence in Texas (more common in New Mexico) are included in Table 1. These results indicate that COPD, substance use disorder, and alcohol use disorder were significantly more prevalent among burn patients residing in New Mexico, with approximately 16–21% lower odds of residence in Texas after adjusting for other comorbidities.

Table 1. Significant Medical Comorbidity Differences Between Texas and New Mexico

Comorbidity OR 95% CI p-value
COPD 0.79 0.71–0.88 <0.001
Substance Use Disorder 0.84 0.75–0.94 0.002
Alcohol Use Disorder 0.87 0.79–0.97 0.012

No statistically significant associations were observed for diabetes mellitus, obesity, mental/personality disorders, current tobacco smoking status, hypertension, hyperlipidemia, or coronary artery disease. While not statistically significant, obesity shows a trend toward Texas patients. This finding may be clinically relevant and applies to the comorbidity burden of Texas burn patients. Figure 2 demonstrates a Forest plot of all the comorbidities tested with their accompanying odds ratios and p-values.

Figure 2

Figure 2. Comorbidities associated with Texas & New Mexico Residence. Explanation: Figure 2 demonstrates the associations of each comorbidity with state of residence, with Odds Ratio < 1 pointing towards New Mexico residence, and Odds Ratio > 1 towards Texas Residence. Alcohol Use Disorders, COPD, and substance use disorders are all significantly associated with New Mexico residence. Obesity trends toward significance in Texas burn patients.

DISCUSSION

This study reveals pronounced differences in the comorbidity profiles of burn patients based on state of residence, highlighting a disproportionately higher burden of respiratory and behavioral health conditions among patients from New Mexico. These findings align with existing literature, which documents elevated rates of chronic respiratory diseases and substance use disorders in underserved and rural populations.1,2

COPD is a particularly important disparity marker, as it reflects both long-term exposure to risk factors and gaps in preventive care. In rural regions such as New Mexico, individuals often face heightened exposure to environmental pollutants (e.g., wood smoke, occupational dust) and have limited access to diagnostic and maintenance care services. Pleasants et al. emphasize that rural residents with COPD are less likely to receive spirometry testing, more likely to experience acute exacerbations, and often lack access to pulmonary rehabilitation.2 These findings resonate with our observed association between COPD and New Mexico residency, suggesting systemic gaps in early diagnosis and chronic disease management.

The intersection of COPD with behavioral health comorbidities, especially substance use and mental health disorders, further complicates the clinical picture. Divo and Celli describe how COPD patients frequently present with complex multimorbidity, particularly involving psychiatric conditions and substance use, which can worsen outcomes and impair adherence to treatment regimens.3 These associations were evident in our dataset which shows that New Mexico burn patients experience significantly higher rates of alcohol and substance use disorders, conditions which often coexist with and exacerbate chronic respiratory illness.

Moreover, disparities in behavioral health access further widen the gap. Mental health and addiction treatment resources are sparse in medically underserved regions of New Mexico. These shortages contribute to delayed or absent care for psychiatric comorbidities, despite their significant influence on burn recovery. Ejike et al. demonstrated that both individual-level vulnerabilities and neighborhood-level disadvantage contribute to disparities in respiratory outcomes, highlighting the role of social determinants in shaping clinical trajectories.4

Such comorbidities are not benign background variables. They directly influence the course of burn recovery. Patients with untreated COPD or active substance use may face prolonged ventilator dependency, impaired wound healing, increased infection risk, and complex pain management needs due to poor respiratory function.5 Further research is merited to determine whether these challenges also drive disparities in hospital length of stay, readmission rates, and mortality observed across state lines.

Conversely, the lack of significant state-level differences in common metabolic comorbidities such as diabetes, obesity, and hypertension, suggests these conditions may be more evenly distributed across Texas and New Mexico or less sensitive to regional healthcare infrastructure in this context. This relative uniformity reflects national trends of widespread cardiometabolic disease burden across rural and urban areas alike.

Ultimately, this analysis underscores the need for public health interventions that extend beyond acute care and address upstream drivers of chronic disease. Expansion of access to pulmonary medicine, behavioral health services, and integrated chronic disease management in underserved areas like rural New Mexico is imperative. Burn centers serving border states should consider these contextual health disparities in their care models, particularly when allocating psychosocial support services, coordinating discharge planning, or designing outreach programs.

This single-center retrospective study limits generalizability beyond the West Texas–New Mexico region. Comorbidity data depended on accurate electronic medical record documentation, which may vary by provider and admission context. Future research should incorporate multi-institutional datasets and adjust for a wider array of demographic and clinical factors to validate and expand upon these findings. Qualitative studies exploring patient experiences with healthcare access and chronic disease management in rural and underserved areas could provide valuable contextual understanding. Interventional studies aimed at mitigating regional disparities through targeted prevention and care coordination programs are warranted.

CONCLUSION

Burn patients from New Mexico were more likely to have respiratory and substance-related comorbidities compared to Texas counterparts. This novel finding may reflect broader regional differences in healthcare access and social determinants of health. The results of this study highlight the need for targeted public health interventions to improve equity in burn care outcomes.


REFERENCES

  1. Duggan RP, Brondeel KC, Mahony WL, et al. Health dsparities among rural burn patients. J Burn Care Res. 2022 Mar 23;43(Suppl 1):S108. doi: 10.1093/jbcr/irac012.174.
  2. Pleasants RA, Riley IL, Mannino DM. Defining and targeting health disparities in chronic obstructive pulmonary disease. Int J Chron Obstruct Pulmon Dis. 2016 Oct 4;11:2475–96. doi: 10.2147/COPD.S79077.
  3. Divo M, Celli BR. Multimorbidity in patients with Chronic Obstructive Pulmonary Disease. Clin Chest Med. 2020 Sep;41(3):405–19. doi: 10.1016/j.ccm.2020.06.002
  4. Ejike CO, Woo H, Galiatsatos P, Paulin LM, Krishnan JA, et al. Contribution of Individual and Neighborhood Factors to Racial Disparities in Respiratory Outcomes. Am J Respir Crit Care Med. 2021 Apr 15;203(8):987–97. doi: 10.1164/rccm.202002-0253OC.
  5. Pleasants RA, Ohar JA, Croft JB, et al. Chronic obstructive pulmonary disease and asthma-patient characteristics and health impairment. COPD. 2014 Jun;11(3):256–66. doi: 10.3109/15412555.2013.840571.24152212.


Article citation: Miller CL, Edwards IT, Baechle J, et al. Burns, borders, and comorbidities: A regional analysis of medical comorbidities in Texas and New Mexico burn patients. The Southwest Journal of Medicine. 2026;14(58):10–14
From: Texas Tech University Health Science Center, Lubbock, Texas, USA (CLM, ITE, JB, AS)
Conflicts of interest: none
This work is licensed under a Creative Commons Attribution-ShareAlike 4.0 International License.